::
رمزگشایی از سود اسناد خزانه - 1394/07/12
عرضه ابزاری جدید در فرابورس ایران، این بار با نام «اسناد خزانه اسلامی» توجه بسیاری از سرمایهگذاران و فعالان اقتصادی را به خود جلب کرده است. این اوراق که هفته گذشته برای نخستین بار در اقتصاد کشورمان با استفاده از مکانیزم بازار عرضه شدند، شاهد اختلاف نظرهایی درباره نحوه محاسبه نرخ سود اوراق مزبور میان کارشناسان و فعالان بازار سرمایه کشور است.
این نرخها که بازه 23 تا 26 درصدی را تشکیل میدهند، موجب شده است تردیدهایی را برای خریداران ایجاد کند. بر این اساس، «دنیای اقتصاد» به ریشهیابی روشهای مختلف محاسبه نرخ سود و ایرادهای هرکدام از آنها پرداخته است. این بررسیها نشان میدهد با فرض قیمت 90 هزار و 50 تومانی که روز چهارشنبه برای این اوراق کشف شد، نرخ سود آنها حدود 26 درصد خواهد بود و سایر روشهای محاسبه، ایراداتی دارند که در ادامه بررسی خواهند شد.
معادلسازی، ریشه اختلافات نرخ سود
اسناد خزانه اسلامی که با نماد «اخزا1» چهارشنبه در فرابورس ایران کشف قیمت شدند، دارای سررسیدی در 23 اسفند 94 هستند. به این ترتیب، خریدار با داشتن این اوراق میتواند در تاریخ مزبور معادل قیمت اسمی اوراق (یعنی 100 هزار تومان) را دریافت کند. بنابراین، خریدار در هر تاریخی که اقدام به خرید «اخزا1» کند، وابسته به قیمت خرید (مثلا در نخستین روز عرضه، قیمت 90 هزار و 50 تومان) سود متفاوتی را دریافت خواهد کرد. این سود بهطور خالص، از زمان خرید تا زمان سررسید محاسبه میشود که معادل اختلاف قیمت اسمی و قیمت خرید است. مثلا با فرض قیمت اسمی 100 هزار تومان و قیمت خرید 90 هزار تومان، 10 هزار تومان به ازای قیمت خرید (حدود 11 درصد) سود در این مدت عاید دارنده «اخزا1» خواهد شد. این سود چون در یک بازه زمانی کمتر از یک سال (در اینجا حدود 5/ 5 ماه) تعریف شده است، به منظور مقایسه با سایر فرصتهای سرمایهگذاری، نظیر سپرده بانکی یا اوراق مشارکت باید نرخ معادل سالانه برای آن تعریف شود. این معادلسازی نرخ سود، محل اختلاف میان صاحبنظران اقتصادی است که در ادامه توضیح داده میشود.

سود ساده، اشتباه نخست محاسبه
نخستین گروهی که به محاسبه نرخ سود اسناد خزانه اسلامی میپردازند، این نرخ را بهصورت ساده محاسبه میکنند. در واقع، آنها سود نهایی به دست آمده را برای یک روز حساب میکنند و آن را به کل سال بسط میدهند. به این ترتیب، اگر قیمت سررسید (اسمی) را 100 هزار تومان و قیمت خرید را 90 هزار و 50 تومان مشابه سایر سناریوها فرض کنیم، مشاهده میشود سود ساده حدود 3/ 24 درصد محاسبه میشود. در این روش فرض میشود سود خالص اسناد خزانه برابر با اختلاف قیمت اسمی و قیمت خرید، حدود 11 درصد و برای بازه زمانی 8 مهر تا 23 اسفند (165 روز) است. بنابراین، نرخ سود سالانه معادل برابر میشود با: 165/ 365*11. به عبارت دقیقتر، با تقسیم 11 درصد بر 165، میزان سود در هر روز به دست میآید، سپس با ضرب این رقم در 365 روز، معادل آن برای یک سال محاسبه میشود که حدود 3/ 24 درصد میشود. این روش محاسبه سود ساده است که برای این نوع سرمایهگذاری اشتباه است. زیرا سرمایهگذار در هر دوره پرداخت سود (در اینجا هر 165 روز)، به سرمایهاش افزوده میشود و در دوره بعدی، یعنی روزهای باقیمانده در کل سال، سود نه تنها به سرمایه اولیه آنها تعلق میگیرد، بلکه سود پرداختی در پایان دوره 165 روزه نیز مشمول سود میشود. بنابراین، واضح است که برای محاسبه نرخ سود صحیح باید از سود مرکب (compound) استفاده کرد.
نرخ مرکب روزانه، اشتباه دوم
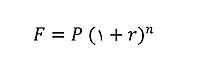
در این میان، نخستین روشی که برخی کارشناسان به اشتباه مورد استفاده قرار میدهند محاسبه نرخ سود بر اساس نرخ مرکب روزانه است. برای محاسبه نرخ سود مرکب فرمول کلی زیر وجود دارد:

در این رابطه، F قیمت نهایی (برای اسناد خزانه قیمت اسمی 100 هزار تومانی)، P قیمت خرید (در محاسبات این گزارش 90 هزار و 50 تومان)، r نرخ سود سالانه، n تعداد دفعاتی که در طول یک سال پرداخت انجام میشود و t تعداد (یا کسری از) سالهایی است که سرمایهگذاری انجام شده است. این رابطه کلی و برای محاسبه نرخ سود مرکب است. در این شرایط، برخی به اشتباه در این رابطه، n را معادل 365 روز میگیرند که به معنای پرداخت نرخ سود بهصورت روزانه است. همچنین، t نیز طول دوره سرمایهگذاری است که واحد آن سال است و در نتیجه معادل 365/ 165 (تقسیم تعداد روزهای باقیمانده تا سررسید (165 روز) بر تعداد روزهای یک سال (365 روز)) است. به این ترتیب، رابطه بهصورت زیر در میآید:

حل این معادله، r یا همان نرخ سود را معادل 23 درصد نشان میدهد که اشتباه است. در واقع، باید در نظر داشت که در اسناد خزانه، سود بهصورت روزانه پرداخت نمیشود، بلکه این سود بر اساس زمان باقیمانده تا سررسید (در اینجا 165 روز) پرداخت خواهد شد. به عبارت دقیقتر، دوره پرداخت (n در فرمول) 165 است و نه 365. این موضوع باعث میشود نرخ سود محاسبه شده از این طریق به اشتباه کمتر از نرخ سود واقعی باشد.
اختلاف جزئی در مسیر صحیح محاسبه سود
اسناد خزانه از جمله اوراق با نرخ کوپن صفر (zero coupon bonds) محسوب میشوند که رابطه عمومی برای محاسبه نرخ سود آنها بهصورت زیر است:
متغیرهای مورد استفاده دقیقا مشابه رابطه قبلی است و در نهایت رابطه استاندارد محاسبه نرخ سود محسوب میشود. اگر نرخ سود را از این روش محاسبه کنیم، عدد 1/ 26 درصد محاسبه میشود؛ این دقیقا همان عددی است که فرابورس نیز در سایت خود بهصورت یک فایل اکسل قرار داده است. در این فایل که بهصورت لحظهای میتواند نرخ سود را برای شما محاسبه کند؛ یعنی در این فایل، با وارد کردن قیمت خرید (P) نرخ سود موثر برای شما محاسبه خواهد شد.
در این شرایط، اختلاف کوچکی وجود دارد که نرخ دقیقتری است؛ «دنیای اقتصاد» در شماره روز پنجشنبه هفته گذشته خود، نرخ سود اوراق را 9/ 25 درصد محاسبه کرده بود که علت اختلاف جزئی آن با نرخ سود محاسبه شده توسط فرابورس، به عدم در نظر گرفتن کارمزد خرید مربوط میشود. خرید اسناد خزانه 0726/ 0 درصد کارمزد دارد که اگر این هزینه را به قیمت این اوراق اضافه کنیم، قیمت واقعی اسناد خزانه از 90050 تومان به 90115 تومان خواهد رسید. بنابراین، این اختلاف جزئی مربوط به در نظر نگرفتن هزینه کارمزد است که نرخ سود را کمی متفاوت میکند.
منبع: روزنامه دنیای اقتصاد/ 12 مهر 1394
تعداد بازدید :
6430
|
:: ثبت نظر ، پیشنهاد و انتقاد ...
|
|
:: فرم ارتباط ...
|
|
:: ثبت پرسش ...
|
|
:: فرم تماس با ما ...
|
|
|